Kí hiệu nam nữ ra đời như thế nào? Dưới đây là những điều bạn cần biết về ý nghĩa biểu tượng nam nữ.
Nếu bạn tìm kiếm trên internet về nguồn gốc của các ký hiệu, bạn sẽ thấy vô số lời giải thích, một số sai lệch và phản cảm như "X đánh dấu vị trí các vật nhọn", nhưng hầu hết đều liên quan đến thần thoại Hy Lạp. Bài báo năm 1962 của William T. Stearn, "Nguồn gốc của các ký hiệu nam và nữ trong sinh học", được xuất bản bởi tạp chí Taxon của Hiệp hội Phân loại Thực vật Quốc tế, cung cấp cho chúng ta một bản tường thuật toàn diện về sự phát triển của các ký hiệu này và cách sử dụng chúng kể từ thế kỷ thứ 5 trước Công nguyên.
Tính tới thời điểm hiện tại, biểu tượng giới tính đã có rất nhiều biến thể khác nhau. Nó thay đổi theo xu hướng và thị hiếu của thời đại. Tuy nhiên, về cơ bản xuất phát điểm giống nhau. Bạn có muốn tìm hiểu sự ra đời thú vị của biểu tượng giới tính này không? Bài viết sẽ cho bạn câu trả lời.
Đại diện cho hai hành tinh, hai kim loại sắt - đồng và các vị thần trên đỉnh Olympus, những biểu tượng cổ điển về giới tính Nam và Nữ mang rất nhiều ý nghĩa ẩn sâu bên trong những dòng nguệch ngoạc.
Bản thân các biểu tượng là cổ xưa và các hiệp hội giúp trở lại ngày bình minh của nền văn minh. Người xưa, sau khi quan sát những chuyển động của các hành tinh trong hệ Mặt Trời, họ đã có những dự đoán về các sự kiện sẽ xảy ra trong tương lai và tin rằng những sự kiện đó kết nối với nhau bằng mối quan hệ nhân quả. Sau đó, các học giả cổ đại bắt đầu tiến hành nghiên cứu một cách logic hơn để dự đoán chính xác và chuẩn bị cho tương lai. Họ cũng liên kết những hành tinh lại với sức mạnh của những vị thần bảo vệ như thần Mercury, thần Venus, thần Mars, thần Zeus (Jupiter) và thần Cronus (Saturn).

Mỗi thiên thể trên trời, cùng với thần hộ vệ liên kết với các nguyên tố kim loại đặc biệt. Ví dụ, thần mặt trời Helios được gắn với kim loại đặc biệt là vàng (Lưu ý: theo quang phổ trong thị giác con người, Mặt Trời thực tế là màu trắng, chứ không phải vàng); thần Mars (tiếng Hy Lạp là Thourus) được kết hợp với sắt dùng chế tạo vũ khí; hay thần Venus (tiếng Hy Lạp là Phosphorus) gắn với kim loại mềm hơn là đồng có thể chuyển sang màu xanh lá.
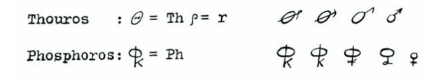
Khi viết về các kim loại này, người Hy Lạp đã giới thiệu chúng bằng tên của các vị thần - các kí tự kết hợp với các chữ cái, sau một thời gian, một loại tốc kí được hình thành; ví dụ như thần Mars (Thourus) và thần Venus (Phosphorus):

Trong thời Trung cổ, các nhà giả kim châu Âu đã dựa trên các kí hiệu viết tắt được giữ lại làm sáng tỏ và sử dụng như danh nhân Carolus Linnaeus ("cha đẻ" của Phân loại học hiện đại và là người sáng tạo ra ngôn ngữ Nhị phân phổ biến), chỉ ra các kim loại tương ứng có trong nghiên cứu Systema Naturae của ông vào năm 1735.
Linnaeus cũng là người đầu tiên sử dụng các kí tự này trong bối cảnh sinh học ở luận án Plantae Hybridae năm 1751, khi ông sử dụng biểu tượng Venus đại diện cho Nữ giới và biểu tượng Mars đại diện cho Nam giới. Sau đó, Linnaeus tiếp tục sử dụng các biểu tượng cho các mục đích để phân biệt giới tính Nam và Nữ và bởi "Species Plantarum" năm 1753, ông đã sử dụng những biểu tượng tự do.
Tiếp bước Linnaeus, những nhà thực vật học khác bắt đầu sử dụng các biểu tượng, cũng như các nhà khoa học từ các lĩnh vực khác bao gồm động vật học, sinh học, con người và cuối cùng là các nhà di truyền học.
Hiện giờ, di truyền học hiện đại không còn sử dụng những biểu tượng quen thuộc nữa và thay vào đó, giới tính được thể hiện dựa trên một hình vuông đối với Nam và hình tròn đối với Nữ:

Những biểu tượng này được phát triển bởi Pliny Earle - một bác sĩ chuyên khoa Thần kinh ở New York vào năm 1845 trong khi giải thích sự di truyền bệnh mù màu:
For the purpose of clearly illustrating the prevalence of this physiological peculiarity in the family, I have prepared the subjoined genealogical chart. Males are represented by squares and females by circles.
Với mục đích minh họa rõ ràng đặc thù tỷ lệ sinh lý này trong các gia đình, tôi đã chuẩn bị các biểu đồ phả hệ phụ vào. Nam giới được đại diện bởi các ô vuông và nữ giới là các vòng tròn.
Trong khi vẫn chưa xác định rõ ràng được tại sao Earle không lựa chọn những biểu tượng cổ điển, sau này thành viên hội hoàng gia đã đưa ra lời giải thích - ông Edward Nettleship tuyên bố rằng Earle đã "không thể sử dụng những kí tự cổ điển này trên máy in... trừ những người làm trong việc in ấn âm nhạc".
Những câu hỏi thường gặp về biểu tượng giới tính nữ và nam
Gõ ký hiệu nữ trên máy tính như thế nào?
- Trên Windows: Alt + 9792
- Phím tắt Word: 2640 Alt + X
- Phím tắt Mac: Opt + 2640
Gõ ký hiệu nam trên máy tính như thế nào?
- Phím tắt Windows: Alt + 9794
- Phím tắt Word: 2642 Alt + X
- Phím tắt Mac: Opt + 2642
Ký hiệu nữ trông như thế nào?
Nó trông giống như một vòng tròn có một chữ thập mọc ra từ đó.
Sau đây là một số ký hiệu giới tính khác mà bạn nên biết:
- ⚦ ⚨ ⚩: lưỡng tính / chuyển giới / chuyển giới tính / liên giới tính / biểu tượng giả kim cho sắt, kim loại sắt
- ⚲: trung tính, hoạn quan, không giới tính
- ⚪: vô tính, không giới tính, phi giới tính; đã đính hôn, đã hứa hôn.
Tóm lại:
Biểu tượng nam (♂) và nữ (♀) mà chúng ta thường thấy ngày nay – ví dụ như trên phòng vệ sinh công cộng, trong sinh học, v.v. – thực ra có một nguồn gốc rất thú vị và lâu đời, bắt nguồn từ thời cổ đại, với sự liên kết giữa thiên văn học, chiêm tinh học và thần thoại Hy Lạp - La Mã.
1. Biểu tượng nam: ♂
- Đây là biểu tượng của sao Hỏa trong thiên văn học cổ đại.
- Trong thần thoại La Mã, sao Hỏa đại diện cho thần chiến tranh Mars.
- Hình dạng của biểu tượng ♂ được cho là mô phỏng cái khiên và cây giáo của thần Mars.
Sau này, nhà sinh học Carl Linnaeus (thế kỷ 18) sử dụng biểu tượng này để đại diện cho giới tính nam trong các mô tả sinh học.
2. Biểu tượng nữ: ♀
- Là biểu tượng của sao Kim, đại diện cho nữ thần Venus – thần sắc đẹp và tình yêu trong thần thoại La Mã.
Học IT










Công nghệ
Microsoft Word 2013
Microsoft Word 2007
Microsoft Excel 2019
Microsoft Excel 2016
Microsoft PowerPoint 2019
Google Sheets
Lập trình Scratch
Bootstrap
Hướng dẫn
Ô tô, Xe máy