Lập kế hoạch tiết kiệm là một bước quan trọng trong việc quản lý tài chính cá nhân. Nếu bạn có được một số vốn và bắt đầu muốn tiết kiệm hoặc đầu tư thì hãy thử ứng dụng lãi suất kép để xây dựng kế hoạch tiết kiệm dựa trên mục tiêu và số năm tích lũy một cách chính xác với công cụ lập kế hoạch tiết kiệm ở dưới đây nhé.
Hãy sử dụng những công cụ lập kế hoạch tiết kiệm ở dưới đây để có một chiến lược tiết kiệm và đạt được mục tiêu tài chính mà bạn đề ra. Công cụ ở dưới đây sẽ giúp bạn biết bạn sẽ mất bao lâu để đạt được mục tiêu tiết kiệm của mình. Hoặc dễ dàng tính toán được số tiền mà bạn cần tiết kiệm mỗi tháng.
Giải nghĩa các biến số trong công thức:
- Mục tiêu tiết kiệm: Số tiền mà bạn muốn tiết kiệm.
 - Số tiền khởi điểm: Số tiền ban đầu bạn có để đầu tư.
 - Lãi suất: Là lãi suất mà bạn nhận được từ việc gửi ngân hàng hoặc đầu tư. Lãi suất này được tính theo đơn vị năm.
 - Năm: Số năm bạn dự định tiết kiệm.
 
Từ những biến số này, bạn có thể nhận ra càng tiết kiệm càng sớm thì bạn sẽ nhận được nhiều tiền hơn. Khác với thời gian, lãi suất cao, tốc độ tăng trưởng càng nhanh thì rủi ro sẽ càng lớn hơn.
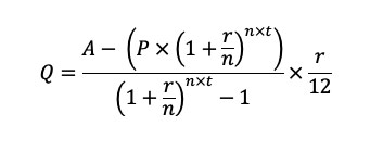
Để tính số tiền bạn cần tiết kiệm mỗi tháng để đạt được mục tiêu tiết kiệm, hãy sử dụng công thức:

- Q: Số tiền bạn cần tiết kiệm mỗi tháng để đạt được mục tiêu tiết kiệm
 - A: Số tiền tiết kiệm mong muốn
 - P: Khoản tiền đầu tư lúc ban đầu bạn có
 - r: Lãi suất ước tính theo kỳ hạn bạn gửi
 - n: Số kỳ hạn nhận lãi tiền gửi của bạn trong năm
 - t: Khoảng thời gian, tính bằng năm, mà bạn dự định tiết kiệm
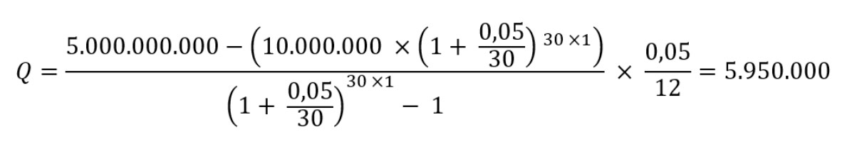
 - Ví dụ: Bạn đã có sẵn 10.000.000 và mong muốn tiết kiệm được 5.000.000.000 sau 30 năm với mức lãi suất 5%. Thay số vào công thức, ta có được số tiền bạn cần tiết kiệm mỗi tháng là:
 

Bạn nên tiết kiệm bao nhiêu mỗi tháng?

Phương pháp quản lý ngân sách được nhiều chuyên gia tài chính đề xuất đó là 50 - 30 - 20. Nguyên tắc này phân chia thu nhập của bạn vào 3 nhóm chính với tỉ lệ là 50% – 30% – 20%.
Lớn nhất là 50% thì bạn nên chi cho các khoản như tiền nhà, tiền ăn,... 30% bạn nên chi tiêu cho học tập, sở thích. Còn 20% còn lại nên tiết kiệm hoặc đầu tư cho tương lai.
Một ví dụ cụ thể, đó là nếu bạn có thu nhập 10 triệu sau thuế, bạn có thể phân chia quỹ ngân sách thành 5 triệu cho tiền nhà, tiền ăn cùng những chi phí cần thiết khác. Khoản 3 triệu để dành cho những nhu cầu cá nhân như tập gym, học tập, 2 triệu còn lại thì tiết kiệm hoặc đầu tư.

Một số gợi ý để bạn bắt đầu lập kế hoạch tiết kiệm:
- Xác định được mục tiêu tiết kiệm: Đầu tiên, hãy xác định mục tiêu tiết kiệm của bạn. Bạn có thể muốn tiết kiệm để mua một cái gì đó đặc biệt, xây dựng quỹ dự phòng, hoặc gửi tiền vào ngân hàng để tích lũy lợi tức.
 - Xem xét ngân sách hàng tháng: Xem xét tình hình tài chính cá nhân của bạn và tạo một ngân sách hàng tháng. Xác định các khoản thu nhập và chi tiêu của bạn để biết được số tiền còn dư sau khi trừ đi các chi phí cố định và cần thiết.
 - Xác định khoản tiết kiệm: Dựa trên ngân sách hàng tháng của bạn, xác định một số tiền có thể dành cho việc tiết kiệm. Cố gắng để đưa ra một số tiền cụ thể hàng tháng mà bạn có thể gửi vào tài khoản tiết kiệm.
 - Cắt giảm chi tiêu không cần thiết: Xem xét xem có những khoản chi tiêu không cần thiết nào bạn có thể cắt giảm để tiết kiệm tiền. Điều này có thể bao gồm việc giảm tiêu dùng hàng ngày, tìm kiếm các giao dịch giảm giá hoặc loại bỏ các dịch vụ không cần thiết.
 - Tìm kiếm cách tăng thu nhập: Để tiết kiệm nhiều hơn, hãy xem xét cách tăng thu nhập của bạn. Bạn có thể tìm cách làm thêm công việc phụ, kỹ năng trên mạng, hoặc tận dụng các cơ hội kiếm tiền bổ sung.
 - Sử dụng tài khoản tiết kiệm: Mở một tài khoản tiết kiệm riêng để gửi tiền vào. Điều này giúp bạn tách riêng tiền tiết kiệm và tránh sử dụng nó cho các mục đích khác.
 - Theo dõi tiến trình và điều chỉnh: Theo dõi tiến trình tiết kiệm của bạn và điều chỉnh kế hoạch nếu cần. Kiểm tra định kỳ để xem tiền đã tiết kiệm đúng hướng và xem xét cách cải thiện nếu cần.
 
Lập kế hoạch tiết kiệm là một quá trình liên tục. Quan trọng nhất là kiên nhẫn và quyết tâm để duy trì mục tiêu tiết kiệm của bạn.
Bạn có thể xem thêm các công cụ của Quantrimang ở dưới đây:
 Học IT 
 
 
 
 
 
 









 Công nghệ 
 Microsoft Word 2013 
 Microsoft Word 2007 
 Microsoft Excel 2019 
 Microsoft Excel 2016 
 Microsoft PowerPoint 2019 
 Google Sheets 
 Lập trình Scratch 
 Bootstrap 
 Hướng dẫn 
 Ô tô, Xe máy